[LeetCode] 429. N-ary Tree Level Order Traversal
grandyang opened this issue · 0 comments
Given an n-ary tree, return the level order traversal of its nodes' values. (ie, from left to right, level by level).
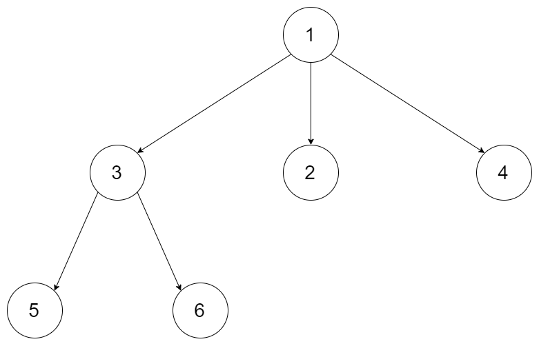
For example, given a 3-ary tree:
We should return its level order traversal:
[
[1],
[3,2,4],
[5,6]
]
Note:
- The depth of the tree is at most
1000. - The total number of nodes is at most
5000.
这道题给了我们一棵N叉树,让我们对其进行层序遍历。我们做过之前二叉树的层序遍历的那道题的话Binary Tree Level Order Traversal,那么这道题也就不难了。虽说现在每一个结点可能有很多个子结点,但其实处理的思路的都是一样的。子结点放到了一个children数组中,我们访问的时候只要遍历数组就行了。先来看迭代的写法,用到了队列queue来辅助,首先判断root是否为空,为空直接返回空数组,否则加入queue中。然后遍历queue,这里用的trick就是,要加个for循环,要将当前queue中的结点的个数统计下来,因为再加入下一层的结点时,queue的结点个数会增加,而在加入下一层结点之前,当前queue中的结点个数全都属于一层,所以我们要把层与层区分开来,将同一层的结点都放到一个数组out中,之后再放入结果res中,这种层序遍历的**在迷宫遍历找最短路径的时候应用的也很多,是个必须要掌握的方法呢,参见代码如下:
解法一:
class Solution {
public:
vector<vector<int>> levelOrder(Node* root) {
if (!root) return {};
vector<vector<int>> res;
queue<Node*> q{{root}};
while (!q.empty()) {
vector<int> out;
for (int i = q.size(); i > 0; --i) {
auto t = q.front(); q.pop();
out.push_back(t->val);
if (!t->children.empty()) {
for (auto a : t->children) q.push(a);
}
}
res.push_back(out);
}
return res;
}
};
下面再来看递归的写法,其实层序遍历天然适合迭代的写法,但我们强行递归也是可以的,就是有点秀。由于递归DFS的设定是一条路走到黑再返回,那么必然会跨越不同的层数,所以为了区别当前的层,我们需要一个变量level来标记当前的层数,根结点root就是第0层,依此类推往上加。然后还有个trick就是关于结果res的大小,由于我们并不知道树的深度,所以一旦我们遍历的层数超过了当前res的大小,我们需要resize一下,这样才不会出错。之后,我们将当前遍历到的结点加到res中的第level层中,然后遍历子结点数组,对每一个子结点调用递归函数即可,参见代码如下:
解法二:
class Solution {
public:
vector<vector<int>> levelOrder(Node* root) {
vector<vector<int>> res;
helper(root, 0, res);
return res;
}
void helper(Node* node, int level, vector<vector<int>>& res) {
if (!node) return;
if (res.size() <= level) res.resize(res.size() + 1);
res[level].push_back(node->val);
for (auto a : node->children) {
helper(a, level + 1, res);
}
}
};
类似题目:
Binary Tree Level Order Traversal
N-ary Tree Preorder Traversal
N-ary Tree Postorder Traversal
参考资料:
https://leetcode.com/problems/n-ary-tree-level-order-traversal/description/
